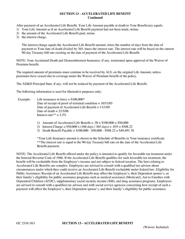
SECTION13-ACCELERATEDLIFEBENEFIT Continued After payment of an Accelerated Life Benefit, Your Life Amount payable at death to Your Beneficiary equals: 1) YourLifeAmountasifanAcceleratedLifeBenefitpaymenthadnotbeenmade,minus 2) the amount of the Accelerated Life Benefit paid, minus 3) the interest charge. Theinterest charge equals the Accelerated Life Benefit amount, times the number of days from the date of paymentto Your date of death divided by 365, times the interest rate. The interest rate will be based on the current 90-day Treasury bill rate existing on the date of payment of the Accelerated Life Benefit. NOTE:YourAccidentalDeathandDismembermentInsurance,ifany,terminatedupon approvalof the Waiverof Premiumbenefit. Therequired amount of premiums must continue to be received by AUL on the original Life Amount, unless premiumshaveceasedduetocoverageundertheWaiverofPremiumbenefitofthepolicy. TheAD&DPrincipalSum,ifany,willnotbereducedbypaymentoftheAcceleratedLifeBenefit. Thefollowing information is used for illustrative purposes only: Example: Life insurance in force = $100,000* Date of receipt of proof of terminal condition = 10/31/05 Date of payment of Accelerated Life Benefit = 11/1/05 Date of death = 2/15/06 Interest rate** = 3.5% 1) AmountofAcceleratedLifeBenefit= .50 x $100,000 = $50,000 2) Interest Charge = $50,000 x (106 days / 365 days) x .035 = $508.22 3) DeathBenefitPayable= $100,000 - $50,000 - $508.22 = $49,491.78 *YourLifeInsuranceamountis shownin the Schedule of Benefits in Your insurance certificate. **Theinterest rate is equal to the 90-day Treasury bill rate on the date of the Accelerated Life Benefit payment. NOTE:TheAcceleratedLifeBenefitofferedunder the policy is intended to qualify for favorable tax treatment under the Internal Revenue Code of 1986. If the Accelerated Life Benefit qualifies for such favorable tax treatment, the benefit will be excludable from the Employee’s income and not subject to federal taxation. The laws relating to Accelerated Life Benefits are complex. Employees are advised to consult with a qualified tax advisor about circumstances under which they could receive an Accelerated Life Benefit excludable under federal law. Eligibility for Public Assistance: Receipt of an Accelerated Life Benefit may affect the Employee’s, their Dependent spouse’s, or their family’s eligibility for public assistance programs such as medical assistance (Medicaid), Aid to Families with DependentChildren (AFDC),supplementarysocial security income (SSI), and drug assistance programs. Employees are advised to consult with a qualified tax advisor and with social service agencies concerning how receipt of such a paymentwill affect the Employee’s, their Dependent spouse’s, and their family’s eligibility for public assistance. GC2510.16/1 SECTION13-ACCELERATEDLIFEBENEFIT (Waiver: Included)
Certificate of Insurance for Group Term Life Insurance Page 33 Page 35