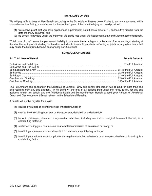
TOTAL LOSS OF USE We will pay a Total Loss of Use Benefit according to the Schedule of Losses below if, due to an Injury sustained while insured under the Policy, you suffer such a loss within 1 year of the date the Injury occurred provided: (1) we receive proof that you have experienced a permanent Total Loss of Use for 12 consecutive months from the date the Injury occurred; and (2) no benefit is payable under the Policy for the same loss under the Accidental Death and Dismemberment Benefit. "Total Loss of Use" means the permanent inability to use an entire arm, leg or combination of arms and legs, starting at the shoulder or hip and including the hand or foot, due to incurable paralysis, stiffening of joints, or any other Injury that may cause the limb(s) to become permanently non-functional. SCHEDULE OF LOSSES For Total Loss of Use of: Benefit Amount: Both Arms and Both Legs ........................................................................................................................... The Full Amount Both Arms and One Leg or Both Legs and One Arm ..................................................................................................................... 3/4 of the Full Amount Both Arms ........................................................................................................................................... 2/3 of the Full Amount Both Legs ........................................................................................................................................... 2/3 of the Full Amount One Arm and One Leg ....................................................................................................................... 2/3 of the Full Amount One Arm or One Leg .......................................................................................................................... 1/2 of the Full Amount The Full Amount can be found in the Schedule of Benefits. Only one benefit (the larger) will be paid for more than one loss resulting from any one accident. In no event will the total of all benefits paid under the Policy to you for any one accident, under this benefit and the Accidental Death and Dismemberment Benefit exceed your Amount of Accidental Death and Dismemberment Benefit shown in the Schedule of Benefits. A benefit will not be payable for a loss: (1) caused by suicide or intentionally self-inflicted injuries; or (2) caused by or resulting from war or any act of war, declared or undeclared; or (3) to which sickness, disease or myocardial infarction, including medical or surgical treatment thereof, is a contributing factor; or (4) sustained during your commission or attempted commission of an assault or felony; or (5) to which your acute or chronic alcoholic intoxication is a contributing factor; or (6) to which your voluntary consumption of an illegal or controlled substance or a non-prescribed narcotic or drug is a contributing factor. LRS-6423-160 Ed. 06/01 Page 11.0
Class 3 Group Life (Basic and Term) Certificate Page 13 Page 15