Dental and Vision Plan Document for Richmond Community Schools

Dental and Vision Plan Document for Richmond Community Schools - Page 17 Dental and Vision Plan Document for Richmond Community Schools Page 16 Page 18
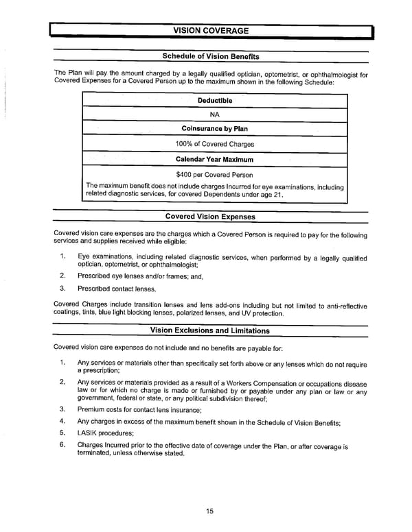
Narration