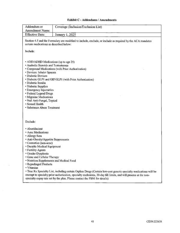
Richmond Community Schools Prescription Drug Benefit Plan

Richmond Community Schools Prescription Drug Benefit Plan - Page 45 Richmond Community Schools Prescription Drug Benefit Plan Page 44 Page 46
Narration